Ciências Exactas

Física e Astronomia

 

 

Conceito de Lei de Ampère

 

Autor: Equipa knoow.net

Contributos: sem contributos... se é especialista nesta matéria, ajude-nos a enriquecer o nosso site... contacte-nos para knoow.net@gmail.com

Data de criação: 20/09/2007

Resumo: Apresentação do conceito e significado da Lei de Ampère; interpertação da lei; formulação matemática...  ver artigo completo

Palavras chave:  física, indução magnética, magnetismo, fórmula, Maxwell

Comente ou leia outros comentários a este artigo

 

Ampère, Lei de

| A | B | C | D | E | F | G | H | I | J | K | L | M | N | O | P | Q | R | S | T | U | V | W | X | Y | Z |

Conceito de Lei de Ampère

A Lei de Ampére, assim designada em homenagem ao seu autor, André Marie Ampére, é usada para calcular o campo de indução magnética em sistemas simples com certa simetria (de forma semelhante à Lei de Gauss para o caso dos campos eléctricos). Depois de Ampère, Maxwell introduziu algumas alterações às equações originais, razão pela qual esta lei é também conhecida por lei de Ampère-Maxwell.

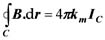
Esta lei estipula que que o sentido do campo magnético é determinado pelo sentido da corrente. Dessa forma, invertendo o sentido da corrente, invertemos também o sentido do campo. Matematicamente, a Lei de Ampére estabelece que o integral de linha do campo de indução magnética, ao longo de uma determinada curva fechada, é igual a 4pkm vezes a corrente total (Ic) através da curva, considerada como positiva segundo o sentido da regra da mão direita (regra em que o polegar da mão direita indica o sentido convencional da corrente elétrica; e os outros dedos, ao envolverem o condutor por onde passa a corrente, dão o sentido das linhas de campo magnético). O lado direito também costuma ser apresentado como m0Ic onde a constante m0 igual a 4pkm representa a permeabilidade magnética do vazio. Esta lei é válida mas apenas na ausência de campos eléctricos variáveis.

 

em que B representa o campo de indução magnética, C a curva fechada, km a constante magnética e Ic a corrente total através da curva C.